测量不确定度的评定与表示(下)
测量不确定度评定(分量)
1.贝塞尔公式法
2.评定合并样本标准偏差
3.预评估重复性
在日常开展同一类被测件的常规检定、校准或检测工作中,如果测量系统稳定,测得重复性无明显变化,则可用该测量系统以与测量被测件相同的测量程序、操作者、操作条件和地点,预先对典型的被测件的典型被测量值进行n次测量(一般n不小于10),由贝塞尔公式计算出单个测得值的实际标准偏差s(xk)
即测量重复性。在对某个被测件实际测量时可以只测量n′次(1≤n′<n),并以n′次独立测量的算术平均值作为被测量的估计值,则该被测量估计值由于重复性导致的a类标准不确定度按公式(1-9)计算:<span=""></n),并以n′次独立测量的算术平均值作为被测量的估计值,则该被测量估计值由于重复性导致的a类标准不确定度按公式(1-9)计算:<>
用这种方法评定的标准不确定度的自由度仍为v=n-1。注意:当怀疑被测量重复性有变化时,应及时重新测量和计算实验标准偏差s(xk)。
4.A类评定流程
标准不确定度的B类评定
B类评定的方法是根据有关的信息或经验,判断被测量的可能值区间[-a,+a],假设被测量值的概率分布,根据概率分布和要求的包含概率p估计因子k,则B类标准不确定度uB可由公式得到:
式中:a为被测量可能值区间的半宽度。当k为扩展不确定度的倍乘因子时称包含因子,其他情况下根据概率论获得的k称置信因子。
(1)权威机构发布的量值;
(2)有证标准物质的量值;
(3)校准证书;
(4)仪器的漂移;
(5)经检定的测量仪器的准确度等级;
(6)根据人员经验推断的极限值等。
(1)生产厂提供的测量仪器的最大允许误差为±△,或由手册查出所用的参考数据误差限为±△,或当测量仪器或实物量具给出准确度等级等,并经计量部门检定合格,则评定仪器的不确定度时,可能值区间的半宽度为:a =△
(2)校准证书提供的校准值,给出了其扩展不确定度为U,则区间的半宽度为:a =U
(3)由有关资料查得某参数的最小可能值为a-和最大值为a+,最佳估计值为该区间的中点,则区间半宽度可以用下式估计:a =(a+─a-)/2
(4)必要时,可根据经验推断某量值不会超出的范围,或用实验方法来估计可能的区间。
(1)已知扩展不确定度是合成标准不确定度的若干倍时,该倍数就是包含因子k值。
(2)假设被测量值服从正态分布时,根据要求的概率查表2得到k值。
表2 正态分布情况下概率p与k值间的关系

(3)假设为非正态分布时,根据要求的概率查表3得到k值。
表3 常用非正态分布时的k值及B类标准不确定度uB(x)

(1)被测量受许多随机影响量的影响,当它们各自的影响都很小时,不论各影响量的概率分布是什么形式,被测量的随机变化服从正态分布。如证书或报告给出的不确定度是具有包含概率为 0.90、0.95、0.99 的扩展不确定度(即给出 U90、U95、U99),此时,除非另有说明,可按正态分布来评定B类标准不确定度。
(2)当利用有关信息或经验,估计出被测量可能值区间的上限和下限,其值在区间外的可能几乎为零时,若被测量值落在该区间内的任意值处的可能性相同,则可假设为均匀分布(或称矩形分布、等概率分布)。如数据修约、测量仪器最大允许误差或分辨力、参考数据的误差限、度盘或齿轮的回差、平衡指示器调零不准、测量仪器的滞后或摩擦效应导致的不确定度及对被测量的可能值落在区间内的情况缺乏了解等,一般假设为均匀分布。
(3)当利用有关信息或经验,若被测量值落在该区间中心的可能性最大,则假设为三角分布。如两相同均匀分布的合成、两个独立量之和值或差值服从三角分布。
(4)当利用有关信息或经验,若落在该区间中心的可能性最小,而落在该区间上限和下限的可能性最大,则可假设为反正弦分布(即U形分布)。如度盘偏心引起的测角不确定度、正弦振动引起的位移不确定度、无线电测量中失配引起的不确定度、随时间正弦或余弦变化的温度不确定度等。
(5)按级使用量块时,中心长度偏差的概率分布可假设为两点分布。
(6)安装或调整测量仪器的水平或垂直状态导致的不确定度常假设为投影分布。
(7)实际工作中,可依据同行共识确定概率分布。
若数字显示器的分辨力为δx,由分辨力导致的标准不确定度分量u(x)采用B类评定,则区间半宽度为a=δx /2,假设可能值在区间内为均匀分布,查表3得k = ,因此由分辨力导致的标准不确定度分量u(x)为:
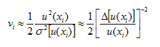
根据经验,按所依据的信息来源的可信程度来判断u(xi)的相对标准不确定度△[u(xi)]/ u(xi)。按上式计算出的自由度列于表4。
表4 △[u(xi)]/ u(xi)与vi与vi的关系

合成标准不确定度评定
被测量Y的估计值y=f(x1,x2,…,xN)的标准不确定度是由相应输入量 x1,x2,…,xN的标准不确定度合理合成求得的,其表示式的符号为uc(y)。合成标准不确定度uc(y)表征合理赋予被测量之值Y的分散性,是一个估计标准偏差。
当简单直接测量,测量模型为y=x时,应该分析和评定测量时导致测量不确定度的各分量ui,若相互间不相关,则合成标准不确定度按公式(2-1)计算:
对大部分检测工作(除涉及航天、航空、兴奋剂检测等特殊领域中要求较高的场合外),只要无明显证据证明某个分量有强相关时,均可按不相关处理,如发现分量存在强相关,如采用相同仪器测量的量之间,则尽可能改用不同仪器分量测量这些量使其不相关。
如证实某些分量之间存在强相关,则首先判断相关性是正相关还是负相关,并分别取相关系数为+1或-1,然后将这些相关分量算术相加后得到一个“净”分量,再将它与其他独立无关分量用方和根求得uc(y)。
如发现各分量中有一个占支配地位时(该分量大于-其次那个分量三倍以上),合成不确定度就决定于该分量。
4.有效自由度
5.合成标准不确定度计算流程
扩展不确定度评定
是被测量可能值包含区间的半宽度。扩展不确定度分为U和UP两种。一般情况下,在给出测量结果时报告扩展不确定度U。
(1)扩展不确定度U由合成标准不确定度uc乘包含因子k得到:U=kuc
当y和uc(y)所表征的概率分布近似为正态分布(不确定度分量较多且其大小也比较接近,可估计为正态分布)时,且uc(y)的有效自由度较大情况下,若k=2,则由U=2uc所确定的区间具有的包含概率约为95%。若k=3,则由U=3uc所确定的区间具有的包含概率约为99%。
在通常的测量中,一般取k=2。当取其他值时,应说明其来源。当给出扩展不确定度U时,一般应注明所取的k值;若未注明k值,k=2。
(2)当要求扩展不确定度所确定的区间具有接近于规定的包含概率p时,扩展不确定度用符号UP表示,当p为0.95,0.99时,分别表示为U95和U99。UP = kpuc
kp是包含概率为p时的包含因子。kp= tp(veff)
根据合成标准不确定度uc(y)的有效自由度veff和需要的包含概率,查《t分布在不同概率p与自由度v时的tp(v)值(t值)表》得到tp(veff)值,该值即包含概率为p时的包含因子kp值。
如果合成不确定度中A类分量占比重较大,如而且作A类评估时重复测量次数n较少,则包含因子k必须查t分布表获得。
扩展不确定度UP = kpuc(y)提供了一个具有包含概率为p的区间y±UP。在给出UP时,应同时给出有效自由度veff。
(3)如果可以确定Y可能值的分布不是正态分布,而是接近于其他某种分布,则不应按
kp= tp(veff)计算UP。
例如Y可能近似为矩形分布,取p=0.95时kp=1.65≈;取p=0.99时kp=1.71≈;取p=1时kp=1.73≈
。
正态分布概率分布图
估计值y的数值和它的合成标准不确定度uc(y)或扩展不确定度U的数值均不应给出过多的有效位数。
通常最终报告的uc(y)和U最多为两位有效数字。对各标准不确定度分量u(xi),为了在连续计算中避免修约误差导致不确定度,可以适当保留多余的位数。
在报告最终结果时,一般采用GB/T 8170-2008《数值修约规则与极限数值的表示和判定》修约到需要的有效数字。如U=28.05kHz经修约写成28kHz。有时也可将不确定度最末位后面的数进位而不舍去。如U=10.47kHz,可以进位到11kHz。
测量结果及其不确定度报告
完整的测量结果包含两个基本量,一时被测量Y的最佳估计值y,通常由数据测量列的算术平均值给出;另一个就是描述该测量结果分散性的量,即测量不确定度。
一般以合成标准不确定度uc(y)或扩展不确定度U(y)或它们的相对形式
给出。
取包含因子k=2,扩展不确定度为U=kuc(ms)=2×0.35mg=0.70mg,
测量结果不确定度报告有以下两种形式:
①ms=100.02147g, U=0.70mg; k=2。
②ms=(100.02147±0.00070)g; k=2。
①ms=100.02147g, U95=0.79mg; veff=9。
②ms=(100.02147±0.00079)g; veff=9, 括号内第二项为U95之值。
③ms=100.02147(79)g; veff=9, 括号内为U95之值,其末位与前面结果末位熟对齐。
④ms=100.02147(0.00079)g; veff=9, 括号内为U95之值,与前面结果有相同的计量单位。